1844 Resources reçoit l'autorisation de travaux à incidence et le permis de forage pour le Projet Sullipek Est de sa propriété phare Vortex/Vallières
October 30, 2025 9:08 AM EDT | Source: 1844 Resources Inc.
Saskatoon, Saskatchewan--(Newsfile Corp. - 30 octobre 2025) - 1844 Resources Inc. (TSXV: EFF) (« 1844 » ou la « Société ») a le plaisir d'annoncer qu'elle a reçu son Autorisation de travaux d'impact (ATI), une exigence obligatoire au Québec pour les activités d'exploration susceptibles d'avoir des impacts environnementaux ou communautaires. Le permis d'ATI est délivré par le ministère des Ressources naturelles et des Forêts du Québec (MRNF) à la suite de consultations avec les communautés autochtones et les municipalités locales concernées. Grâce à cette autorisation, 1844 est pleinement conforme à la réglementation provinciale et peut procéder à ses activités d'exploration prévues.
Cette approbation a également permis à la Société d'obtenir le permis de forage nécessaire du ministère, autorisant la préparation et la réalisation d'un programme de forage de 3 000 mètres sur la portion Sullipek Est de son projet phare Vortex/Vallières.
Sylvain Laberge, président et chef de la direction de 1844, déclare :
« Nous sommes ravis des progrès réalisés sur notre projet phare Vortex/Vallières et avons la chance de bénéficier de l'expertise de Bernard-Olivier Martel, notre personne qualifiée, qui occupe également cette fonction à la mine de cuivre de Gaspé. »M. Laberge poursuit :« L'obtention de ce permis permet à 1844 de reprendre ses travaux d'exploration sur le projet Vortex/Vallières. Nous remercions Mlle. Suzie Tremblay V.P. de Explo-Logik inc., le ministère des Ressources naturelles et des Forêts du Québec, ainsi que toutes les communautés et Nations locales, pour leur collaboration dans l'avancement de ces autorisations. »
Projet Vortex/Vallière
Le projet Vortex est une propriété de cuivre, molybdène et or située à 25 kilomètres à l'ouest de Murdochville. Il comprend 60 claims couvrant une superficie totale de 35 kilomètres carrés.
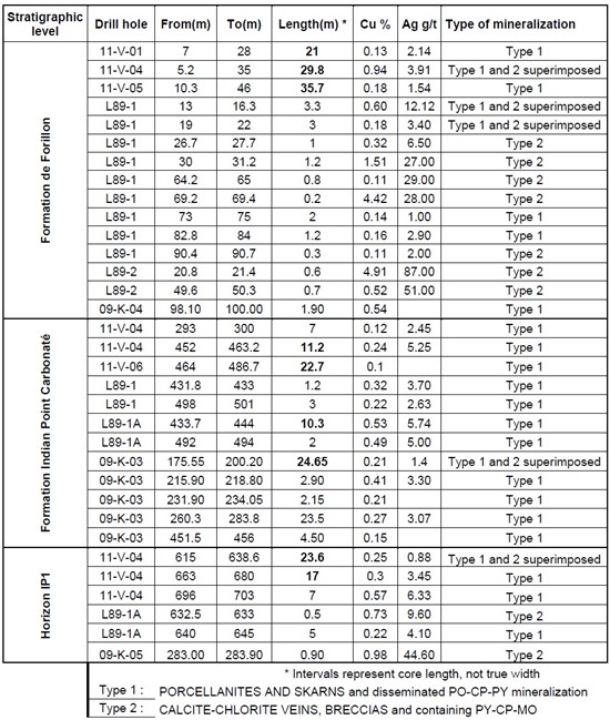
- Indice Sullipek Est
En août 2012, un communiqué de presse annonçait une découverte de 29 mètres titrant 0,94 % Cu, à partir d'une profondeur de 5,20 mètres. Le programme de forage de 3 000 mètres nous permettra de bâtir sur les résultats analytiques antérieurs, qui ont mis en évidence des intervalles significatifs, avec trois niveaux stratigraphiques présentant un fort potentiel de minéralisation.
Figure 1
Pour obtenir une version améliorée de ce graphique, veuillez consulter ce lien :
https://images.newsfilecorp.com/files/8892/272549_18441en.jpg
- Contact inférieur de la Formation de Forillon
29,8 m @ 0,94 % Cu : DDH 11-V-04
21,0 m @ 0,13 % Cu : DDH 11-V-01
35,7 m @ 0,18 % Cu : DDH 11-V-05
1,9 m @ 0,54 % Cu : DDH 09-K-04
- Contact supérieur de la Formation de Indian Point, riche en carbonates
10,3 m @ 0,57 % Cu : DDH L89-1
1,2 m @ 0,24 % Cu : DDH 11-V-04
9,0 m @ 0,15 % Cu : DDH 11-V-06
- Horizon IP1 (une unité de calcaire zébré de 20 à 40 m d'épaisseur)
17,0 m @ 0,30 % Cu : DDH 11-V-04
7,0 m @ 0,50 % Cu : DDH 11-V-04
Figure 2
Pour obtenir une version améliorée de ce graphique, veuillez consulter ce lien :
https://images.newsfilecorp.com/files/8892/272549_18442en.jpg
- Gîte Sullipek
Une estimation de ressources inférées conforme à la norme NI 43-101, complétée par Claude Duplessis, ing., de Goldminds Geoservices, le 2 février 2017 (voir rapport), a défini 2 240 000 tonnes titrant 1,09 % Cu, représentant environ 24 000 tonnes de cuivre contenu (portion de 1844 du gisement Sullipek).
Le modèle de ressources minérales a été préparé à partir de 349 forages historiques, délimitant trois principales enveloppes minéralisées en cuivre. L'interpolation des teneurs a été réalisée selon la méthode de la distance inverse au carré, avec un minimum de trois composites fondés sur des intervalles de 1,5 mètre. Le modèle utilise des blocs cubiques de 5 mètres (pesant 337,5 tonnes chacun) et un ellipsoïde orienté NNO-SSE, de 60 m × 40 m × 10 m.
La combinaison des deux portions du gisement Sullipek - les secteurs Vallière et Vortex - représente un inventaire minéral historique incluant des estimations non conformes à la NI 43-101. Notamment, une étude de Geostat (1993) avait rapporté des ressources mesurées (réserves géologiques de classe II) de 5,9 millions de tonnes titrant 0,82 % Cu. Ces estimations historiques ne sont pas conformes aux normes actuelles, et le matériel minéralisé ne peut donc pas être considéré comme une ressource minérale actuelle.
La personne qualifiée n'a pas effectué suffisamment de travaux pour vérifier ou classer l'estimation historique comme actuelle ; par conséquent, la Société ne traite pas cette estimation historique comme une ressource minérale actuelle.
Les travaux supplémentaires requis pour vérifier et éventuellement mettre à jour l'estimation historique selon les normes NI 43-101 actuelles comprendraient : la vérification des données de forage historiques, la validation du contrôle et de l'assurance qualité (QA/QC), l'échantillonnage de carottes disponibles, le jumelage de certains forages, ainsi que la mise à jour des modèles géologiques et de blocs à l'aide de méthodes analytiques modernes et d'une base de données validée.
Figure 3
Pour obtenir une version améliorée de ce graphique, veuillez consulter ce lien :
https://images.newsfilecorp.com/files/8892/272549_figure_3.jpg
- Cadre géologique
Le projet est situé à l'intérieur d'un système hydrothermal d'environ 1 000 mètres de diamètre. Les roches affleurantes, composées de porcélanite, appartiennent aux formations de Forillon et de Indian Point. La minéralisation, constituée de sulfures disséminés et en veinules, est principalement contrôlée stratigraphiquement dans la zone. Elle présente des similitudes avec la mine de Gaspé et est classée comme cuivre de type porphyrique/skarn, avec présence de chalcopyrite disséminée et en veinules/stockwork, accompagnée de pyrite, pyrrhotite, molybdénite et or.
- Géophysique
1844 Resources a complété un levé géophysique aéroporté MAG-SPEC à haute résolution sur la propriété, avec un espacement de lignes de 50 mètres. Les données du levé sont actuellement en phase finale de traitement, et les résultats seront publiés sous peu.
Les levés électromagnétiques historiques (EM) ont mis en évidence une zone conductrice d'un kilomètre de largeur, située dans un réseau de failles orientées NNO. Cette zone, composée d'une succession de formations géologiques inclinées vers le sud-est, n'a jamais été testée en profondeur.
À propos de 1844 Resources Inc.
1844 est une société d'exploration axée sur les métaux stratégiques et énergétiques dans les régions sous-explorées de Gaspé, Québec. Grâce à une équipe de direction dédiée, l'objectif de la Société est de créer de la valeur pour les actionnaires par la découverte de nouveaux gisements.
Bernard-Olivier Martel, géo., directeur de l'exploration de la Société, est une personne qualifiée (au sens du Règlement national 43-101 - Normes de divulgation des projets miniers) et a révisé et approuvé l'information technique contenue dans le présent communiqué.
1844 RESOURCES INC.
(signé) « Sylvain Laberge »
Sylvain Laberge
Président et chef de la direction
514-702-9841
slaberge@1844resources.com
INFORMATION PROSPECTIVE
Certains énoncés contenus dans ce communiqué constituent des énoncés prospectifs au sens des lois sur les valeurs mobilières applicables. Les énoncés prospectifs peuvent être identifiés par l'utilisation de termes tels que « s'attend », « a l'intention », « prévu », « potentiel », « suggère » ou leurs variantes, ou encore par des énoncés selon lesquels certaines actions, événements ou résultats « pourraient », « devraient », « seraient », « peuvent » ou « seront » réalisés. Les énoncés prospectifs ne constituent pas des faits historiques et sont soumis à un certain nombre de risques et d'incertitudes indépendants de la volonté de la Société, y compris, sans s'y limiter, l'obtention de l'approbation réglementaire pour le placement et que celui-ci soit entièrement souscrit. Les résultats réels et les développements pourraient différer, et différer de façon importante, de ceux exprimés ou sous-entendus dans les énoncés prospectifs contenus dans ce communiqué. Les lecteurs ne doivent donc pas se fier indûment à ces énoncés prospectifs. La Société n'assume aucune obligation de mettre à jour publiquement ou de réviser ces énoncés prospectifs, sauf si requis par la loi.
Ni la Bourse de croissance TSX ni son fournisseur de services de réglementation (au sens attribué à ce terme dans les politiques de la Bourse de croissance TSX) n'acceptent la responsabilité de l'adéquation ou de l'exactitude du présent communiqué.
CE COMMUNIQUÉ NE DOIT PAS ÊTRE DIFFUSÉ AUX SERVICES DE FIL DE PRESSE AMÉRICAINS NI ÊTRE DIFFUSÉ AUX ÉTATS-UNIS

Pour consulter la version originale de ce communiqué de presse, visitez le https://www.newsfilecorp.com/release/272549



